Abc Formel

If you are having a hard time accessing the Abc Formel page, Our website will help you. Find the right page for you to go to Abc Formel down below. Our website provides the right place for Abc Formel.

ABC Formel
ABC

https://zhidao.baidu.com › question
ABC A A

ABC FORMEL Mitternachtsformel Vs PQ FORMEL Aufgaben Mit Musterl sungen
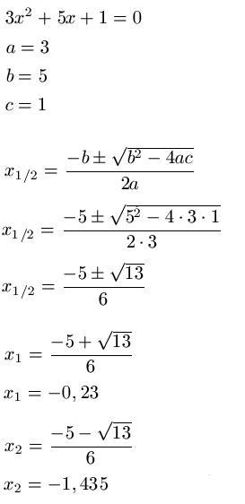
a b c abc 0

https://zhidao.baidu.com › question
abc aXb c 0 a b

Abc Formel APK For Android Download
abc

https://zhidao.baidu.com › question
ABC DD m n

Abc Formel APK For Android Download
abc

https://zhidao.baidu.com › question
Every body sings with me ABC 26

Diskriminante Abc formel rechnen Funktion Gleichungen
Bc abc

https://zhidao.baidu.com › question
Bc abc BC ABC BC

Mathe Aufgabe Abc Formel Schule Mathematik

https://www.zhihu.com › tardis › bd › art
I 1 A

Kann Mir Jemand Mit Der Abc Formel Helfen Schule Mathematik Rechnen
ABC

https://www.zhihu.com › question
ABC ABC American born children ABC

Mathe Aufgabe Abc Formel Schule Mathematik
ABC

https://zhidao.baidu.com › question
ABC

Abc Formel Quadratische Gleichungen L sen mit Video
abc a b c

https://zhidao.baidu.com › question
abc a b c ABC ABC ABC

Thank you for visiting this page to find the login page of Abc Formel here. Hope you find what you are looking for!